Waldgestaltungsplan Sihlwald Planung 1991-2001
 
 

Teil D
 
 

Betriebsplan
 
 

Sihlwald
 
 

Für die Periode 1991-2001





Übersichtsplan Sihlwald 1:25:000 mit Abteilungsgrenzen
 
 
 
 

Ergebnisse der Forsteinrichtung

Tabelle a) und b)
 
 

Ergebnisse der Forsteinrichtung

Tabelle c) und d)
 
 

Ergebnisse der Forsteinrichtung

Tabelle e) und f)
 
 

Ergebnisse der Forsteinrichtung

Tabelle g)
 
 
 
 

II. Kontrolle der Periode 1981 - 1990
 
 
 
 
 
 
 
 

1. Einleitung
 
 
 
 

Die Daten zum vorliegenden Waldplan wurden 1990 erhoben (Befliegung für die Bestandeskarte, Stichprobenaufnahme, Profilstreifen). Die nächste Revision ist nach zehn Jahren, also im Jahr 2000, fällig.
 
 

Die methodischen Verfahren zur Auswertung der Aufnahmen sind in Kapitel B 3.1/3.2 beschrieben. Der Inventur von 1981 lag die eingerichtete Waldfläche von 951,98 ha zugrunde. Nicht berücksichtigt wurden alle, auf der Bestandeskarte von 1981, als Reservatsfläche bezeichneten Flächen, von insgesamt 60,78 ha. Für die Inventur von 1990 wurde dagegen die gesamte Waldfläche von 1012,76 ha aufgenommen. Die Reservatsfläche von 1981 ist, bis auf jene Flächen der Abteilung 18 und 30, klein zerstückelt, so dass 1990 nur in den Abteilung 18 und 30 neue Stichprobenpunkte dazu gekommen sind. Insgesamt sind es 18, 1990 in der ehemaligen Reservatsfläche zusätzlich aufgenommene Stichproben. Um die Vergleichbarkeit der Zahlen von 1981 mit jenen von 1990 sicherzustellen, wurde aufgrund der Stichprobendaten der 18 neuen Probeflächen Vorrat, Stammzahl und Baumartenverteilung der 1981 als Reservat bezeichneten Fläche berechnet und vom Gesamtinventurergebnis 1990 subtrahiert.
 
 
 
 
 
 
 
 

2. Flächenverhältnisse
 
 
 
 

Während der Revision 1981 und derjenigen von 1990 wurden die folgenden Flächen ausgewiesen:
 
 
 

 

nach Grund- buchauszug
 
 

Gesamtfläche

nach Bestandeskarte
 
 

bewaldet

nach Bestandeskarte
 
 

Freiland/ ertragslos

nach Bestandeskarte
 
 

Gesamtfläche

Revision 1981

1056.76

1011.08

45.68

1056.76

Revision 1990

1060.62

1012.76

42.58

1055.34

Tab. D-1: Flächenverhältnisse 1981 und 1990
 
 

Die Gesamtfläche hat um rund 4 Hektaren, wovon 1.5 Hektaren Waldfläche, zugenommen. Zwischen der Flächenermittlung nach Grundbuch und derjenigen nach Bestandeskarte besteht allerdings eine Differenz von rund 5 Hektaren, die nicht geklärt ist. Den Berechnungen und Angaben im vorliegenden Waldplan wird die Flächenzusammenstellung gemäss Bestandeskarte zugrundegelegt.
 
 

3. Waldentwicklung 1981-1990
 
 
 
 

3.1 Zusammensetzung von Entwicklungsstufen und Alter
 
 
 

Entwicklungsstufe

ca. Alter

Flächenanteile in %


 
 

 

 

Rev. 1981

Rev. 1990 

auf alter Fl.

Rev. 1990

auf neuer Fl.

Jungwuchs/Dickung

Stangenholz

schwaches Baumholz

mittleres Baumholz

Altholz I

Altholz II

Altholz III

stufig/ungleichartig, 140J.

0-20

20-40

40-60

60-80

80-100

100-120

120-140

 

10

7

8

27

24

4

5

15

8,6

12,2

3,5

26,9

26,0

13,5

2,7*

6,6*

8,1

11,5

3,3

25,9

25,4

12,9

2,6*

10,3*

Tab. D-2: Flächenanteile der verschiedenen Entwicklungs- und Altersstufen (* Im Gegensatz zu den Angaben für 1981 wurden 1991 als Altholz III alle Bestände älter als 120 jährig eingestuft. D.h. unter 'ungleichartig/stufig' wurde 1991 das Alter 140 J. nicht berücksichtigt)
 

Aus diesen Zahlen lässt sich als einzige gesicherte Tendenz die Zunahme des Altholzes II entnehmen. Zudem ist erkennbar, dass sich in der zusätzlich zu 1981 aufgenommenen Fläche überdurchschnittlich viele stufige Bestände befinden (z.B. grosser Teil der Abt. 18). Alle übrigen Entwicklungen sind wohl eher Zufälligkeiten, die methodisch bedingt sind. Die Bestände werden alle 10 Jahre von neuem ausgeschieden und - bei allen Versuchen, die Ansprache zu objektivieren - äusserst unterschiedlich abgegrenzt. Wurden z.B. vor zehn Jahren 640 verschiedene Bestände ausgewiesen, so sind es 1990 rund 770. Noch krassere Unterschiede zeigen sich auf Abteilungsebene: die Abt. 18 etwa wurde 1981 in einem Bestand zusammengefasst, während sie zehn Jahre später in elf verschieden Bestände aufgegliedert erscheint; die Abt.2 andererseits weist heute nur noch 11 Bestände auf gegenüber 21 bei der vorangegangenen Revision. Obige Zahlen sind deshalb mit der nötigen Vorsicht zu interpretieren.
 
 
 
 

3.2 Stammzahlen, Vorrat, Mittelstamm, Stärkeklassen
 
 

Für die Erhebung und Berechnung der folgenden Zahlen, wurden alle Bäume mit einem Brusthöhendurchmesser grösser oder gleich 8cm berücksichtigt.
 
 

Die Stammzahlen (Tabelle a, D-I) hat in der vergangenen Periode von 446'925 Stück, bzw. 469 Stück/ha im Jahre 1981 auf 360'325 Stück, bzw. 378 Stück/ha im Jahre 1990 abgenommen. Beide Zahlen beziehen sich auf die, 1981 aufgenommene Fläche von 951,98 ha. Die Abnahme der Stammzahl beträgt 19%. Die mittlere Stammzahl der 1990 zusätzlich aufgenommenen Fläche von 60,78 ha beträgt 549 Stück/ha, liegt also höher als auf der übrigen Waldfläche. Für die gesamte 1990 aufgenommene Waldfläche von 1012,76 ha ergibt sich eine Stammzahl von 393'693 Stück bzw. 389 Stück/ha.
 
 

Gleiches gilt für den Holzvorrat (Tabelle a, D-I). Dieser hat auf der 1981 eingerichteten Waldfläche (951,98 ha) von 349'949 m3, bzw. 368m3/ha auf 310'323m3, bzw. 325m3/ha im Jahre 1990 abgenommen. Die Werte von 1991 beziehen sich auf die, 1981 aufgenommene Waldfläche. Wegen der Änderung des Tarifs müssen für den Vergleich die Zahlen von 1981 im Mittel um 1,6% reduziert werden, was für 1981 einen Holzvorrat von 344'349m3, bzw. 362 m3/ha ergibt. Der Holzvorrat hat damit innerhalb von neun Jahren um 9,8% abgenommen. Der mittlere Holzvorrat der 1990 zusätzlich aufgenommenen Fläche von 60,78 ha beträgt 409,3m3/ha, liegt also höher als auf der restlichen Waldfläche. Für die gesamte, 1990 aufgenommene Waldfläche von 1012,76 ha ergibt sich ein Holzvorrat von 325'200m3, bzw. 331m3/ha.
 
 

Die Stammzahl hat also stärker abgenommen als das Holzvolumen, woraus sich eine Zunahme des mittleren Stammvolumens von 0.78 auf 0.86 m3 pro Baum ergibt (Tabelle a, D-I).
 
 

Bei der Verteilung der Holzvorräte auf die fünf Stärkeklassen O-IV (Tabelle e, D-I) hat sich eine Verschiebung nach "oben" ergeben, d.h. es steht mehr Holz in Form von grösseren Bäumen im Sihlwald: sowohl absolut als auch anteilsmässig hat das Holzvolumen der Bäume mit mehr als 52 cm Durchmesser zugenommen, nämlich um rund 20'300 m3 oder von 23 auf 32% (die flächenhafte Zunahme des Altholzes II wird damit bestätigt). Geringere Anteile als vor 9 Jahren hat dagegen das Holzvolumen der Bäume der Stärkeklassen II und III zwischen 24 und 52 cm Durchmesser: 50'000 m3 weniger oder ein anteilsmässiger Rückgang von 65 auf 58%.
 
 

Diese Verschiebungen im Aufbau des Holzvorrates im Sihlwald sind - zumindest teilweise - Ausdruck der Bemühungen zur Schaffung naturnaher Bestände, die seit 1986 in systematischer Art und Weise unternommen wurden (vgl. Kapitel B 3.4).
 
 
 
 

3.3 Zuwachs
 
 

Die Zuwachsleistung hat gegenüber der Periode 1971-81 in den vergangenen 10 Jahren kräftig zugenommen: statt nur 7.1 m3 sind pro Jahr und ha 10.0 m3 zugewachsen. Eine befriedigende Erklärung dieses Phänomens konnte bis jetzt allerdings nicht gefunden werden. Eine mögliche Hypothese nimmt als Ursache den Stickstoffeintrag aus der Atmosphäre an (vgl. dazu Kap. B-3.6.2). Ob die milden Winter und die damit vebundene Verlängerung der Vegetationszeit einen Einfluss haben, kann höchstens vermutet werden.
 
 

Die festgestellten Zuwächse verteilen sich wie folgt auf die Auswerteeinheiten (Gruppen von Entwicklungsstufen) der Stichprobenerhebung (Tab. D-3 auf der nächsten Seite):
 
 

Auswerteeinheit/

Entwicklungsstufe

Fläche

 

Zuwachs

ha

m3/Jahr

m3/J+ha

Anteil

Zuwachs

%

Jungwüchse/Dickungen

82.2

375

4.6

4

Stangenhölzer und schwache Baumhölzer

150.1

1'669

11.1

16

mittlere Baumhölzer

262.0

2'811

10.7

28

Althölzer I-III

413.8

4'058

9.8

40

stufige und ungleichaltrige Bestände

104.5

1'176

11.3

12

 

 

Tab. D-3: Zuwachswerte gemäss Hektarprogramm der Stichprobenauswertung 1990
 

Die Zuwachswerte differieren, von den Jungwaldflächen abgesehen nur gering. Erstaunlich hohe Werte steuern die ungleichaltrigen und stufigen Bestände bei. Die Hälfte des Zuwachses leisten Althölzer (über 80 Jahre) und die stufigen Bestände.
 
 
 
 

3.4 Baumarten
 
 

Erhebliche Veränderungen gegenüber dem Zustand von 1981 haben sich bei den Baumarten-Anteilen ergeben. Sowohl absolut als auch anteilsmässig ist der Bestand an Nadelhölzern (Rottanne, Weisstanne, Föhre, Lärche, nicht aber Eibe) um 6% auf einen Massenanteil von 39% zurückgegangen. In besonderem Masse davon betroffen sind die Rottanne (Reduktion um 20'600 m3 oder von 28 auf 25%) und die Weisstanne (um 10'600 m3 oder von 11.5% auf 9.5% Massenanteil). Hauptbaumart bleibt die Buche, deren Anteil von 35% auf 40% gestiegen ist, deren absoluter Vorrat aber konstant blieb. Auch die übrigen Laubbaumarten haben in den vergangenen neun Jahren zugelegt. Diese Entwicklung wurde mit den, seit 1985 eingeleiteten waldbaulichen Massnahmen, zur Erhöhung der Natürlichkeit des Waldes beabsichtigt und erreicht. Eine Ausnahme bildet die Weisstanne, die sich bis in aller jüngster Zeit als kümmernd erwies und teilweise ausfiel.
 
 
 
 
 
 
 
 

4. Waldbehandlung
 
 
 
 

Die Behandlung des Sihlwaldes - seine Verjüngung, die Jungwaldpflege, die Durchforstung sowie der Abtrieb erntereifer Bestände - hat im Laufe der vergangenen Planperiode eine radikal neue Ausrichtung erhalten (vgl. dazu Kapitel B-3.4).
 
 

Gemäss Wirtschaftsplan 1981 sollten, entsprechend einer Umtriebszeit von 120 Jahren, jährlich 8.5 Hektaren geräumt und verjüngt werden. Bis 1985 wurden etwas weniger, nämlich rund 7.5 ha/Jahr geschlagen und davon 70% natürlich verjüngt. Seit 1986 hat die künstliche, durch Räumungsschläge herbeigeführte Waldverjüngung gänzlich an Bedeutung veloren. Wirtschaftlich alte Bestände, die - wie ausgeführt - noch nicht die Hälfte ihres natürlichen Alters erreicht haben, werden nicht mehr abgetrieben; es sind deshalb auch keine Verjüngungsmassnahmen mehr nötig.
 
 

Schwergewicht der waldbaulichen Pflege wurde nach 1986 die Durchforstung. Damit wurde das Ziel verfolgt, starkkronige, standortsgerechte Bäume zu begünstigen und auf eine naturgemässe stufige oder mehrschichtige Struktur hinzuarbeiten. In den Hintergrund der waldbaulichen Ziele traten dabei die Stammform und die zu erwartende Holzqualität der verbleibenden Bäume.
 
 

Die Jungwaldpflege wurde stark intensiviert, deren Zielsetzungen jedoch neu formuliert. Nicht die wirtschaftlich interessanten Individuen wurden gefördert, sondern möglichst vitale, grosskronige oder eher vorwüchsige Bäume, die optimale Anlagen haben, einen langlebigen, vertikal gegliederten Bestand zu bilden.
 
 
 
 
 
 
 
 

5. Nutzungen
 
 
 
 

5.1 Quantitäten
 
 

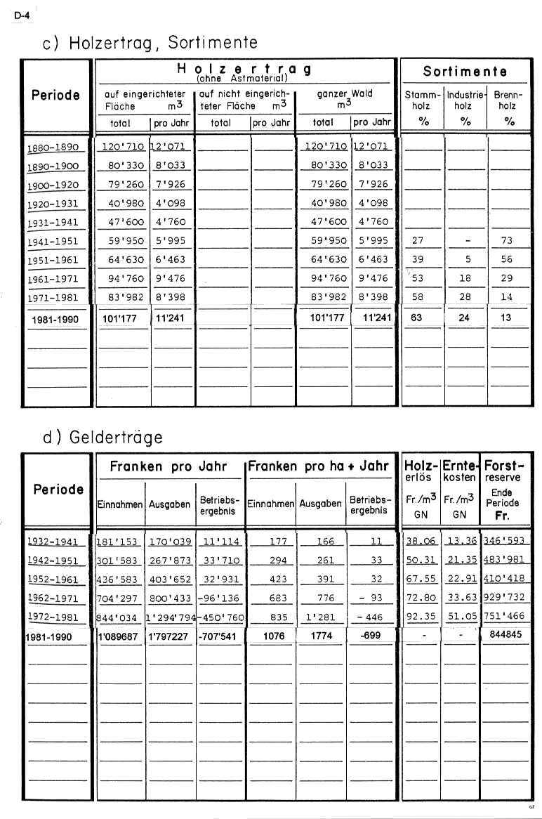
Die Nutzungen der vergangenen Periode von 1981 bis 1990 kann anhand der Liegendkontrolle und der Stichprobenauswertung dargestellt werden. Ein Überblick über die Nutzungen von 1981-1990, basierend auf der Liegendkontrolle, vermittelt Tabelle D-4. Die detaillierten Zahlen sind in der Tabelle 'Nutzungskontrolle' im Anhang ersichtlich. Alle Zahlen stammen aus den forstlichen Jahresberichten der Jahre 1981-90.
 
 

Sortimente

Nadelholz

Laubholz

Total

Stammholz in m3

4'048

3'010

7'058

in %

36

27

63

Industrieholz* in m3

558

2'153

2'711

in %

5

19

24

Brennholz** in m3

220

1'252

1'472

in %

2

11

13

Total in m3

4'826

6'415

11'241

in %

43

57

100

 

Tab. D-4: Durchschnittliche Jahresnutzung 1981-90 gemäss Nutzungskontrolle ohne Astmaterial (* 1 Ster = 0.7 m3, ** 1 Ster = 0.7 m3, 1m3 Schnitzelholz lose = 0,4 m3)
 

Der Liegendkontrolle werden in Tabelle D-5 die Nutzungsangaben gemäss Stichprobenauswertung gegenüber gestellt. Tabelle D-5 ermöglicht im weiteren einen Überblick, in welchen Entwicklungsstufen die Nutzungen erfolgt sind.
 
 

Zwischen der durchschnittlichen, jährlichen Nutzungsmenge gemäss Inventur 90 und jener der Liegendkontrolle besteht eine Differenz von jährlich 1821 m3, bzw. 16'389 m3 in 9 Jahren. Mit der Nutzungskontrolle wurden offenbar gegenüber der Inventur rund 16'000 m3 Holz nicht erfasst.
 
 

Dieser Sachverhalt kann wie folgt erklärt werden:
 
 

- Für die Berechnung der m3-Werte für das Industrie- und Schichtholz wurde als Berechnungsbasis 1 Ster = 0,7 m3 gesetzt. Normalerweise wird aber mit 1 Ster = 0,75 m3 gerechnet, so dass rund 2500m3 mehr Industrie- und Schichtholz angefallen sein dürften, als in der Nutzungskontrolle ausgewiesen sind.
 

Auswerteeinheit/

Entwicklungsstufe 1990

Fläche

 

Nutzung

 

   
 

ha

m3/Jahr

m3/J+ha

%

Jungwüchse/Dickungen

82.2

1'142

10.2

9

Stangenhölzer und schwache Baumhölzer

150.1

1'574

10.5

12

mittlere Baumhölzer

262.0

4'162

15.9

32

Althölzer I-III

413.8

5'335

12.9

41

stufige und ungleichaltrige Bestände

104.5

849

8.1

6

 

Tab. D-5: Durchschnittliche Jahresnutzungen in den einzelnen Entwicklungsstufen 1981-90, gemäss Hektarprogramm der Stichprobenauswertung 1990
 

- Bei den Daten der Stichprobeninventur muss mit einem statistischen Fehler von rund 6% gerechnet werden. Wird dieser Fehler zur Hälfte berücksichtigt wären damit weitere 3500m3 der bestehnden Differenz erklärbar.
 
 

- Aus der Nutzungskontrolle (vgl. Anhang) ist klar ersichtlich, dass sich die Nutzungsmenge mit dem Betriebsjahr 1986 wesentlich verändert hat. Von durchschnittlich 8800 m3/J in den Jahren 1982-85 stieg die jährliche Nutzung in den folgenden Jahren auf rund 13'200 m3/J an. Neben den Nutzungsmengen haben sich seit 1986 auch die Art der Eingriffe geändert. Ab 1986 wurden keine Endnutzungen mehr durchgeführt sondern ausschliesslich Durchforstungen, mit dem Ziel, stufige, altholzreiche Bestände zu schaffen. Im Mittelpunkt stand ab 1986 die Überführung von Hochwald in reich strukturierte Naturwaldformen, welche massive Überführungseingriffe erforderten.
 
 

Somit sind ca. 35'000m3 Holz zwischen 1981 und 1986 vorwiegend als Endnutzungen geschlagen worden, während in den folgenden Jahren ca. 66'000 m3 Holz aus Durchforstungen angefallen sind. Da die, aus den Durchforstungen stammenden Bäume, die nicht unter wirtschaftlichen Aspekten geschlagen wurden, ein durchschnittlich kleiners Holzvolumen aufweisen als Bäume, die als Endnutzung geschlagen wurden, hätte der Tarif vor und nach 1986 differenziert werden müssen. Da dies nicht gemacht wurde, muss mit einem Tariffehler von rund 4000m3 gerechnet werden.
 
 

- Das bei der Liegendkontrolle nicht erfasste liegengebliebene Derb- und Stangenholz dürfte bezogen auf die Jahre 1981-90 mindestens eine Menge von 3000 m3, d.h. rund 3 m3/ha ausmachen.
 
 

- Bei der Nutzungskontrolle wurden die angefallenen Mengen Hackschnitzel nicht konsequent erfasst, was weitere rund 3000m3 der bestehnden Differenz erklärt.
 
 

Die jährliche Nutzungsmenge wurde von rund 8400 m3 in den Jahren 1961 bis 1981 auf 13'000 m3 von 1981 - 1990 gesteigert. Bezogen auf den Anfangsvorrat entspricht dies einer Entnahme von 3.7% der Holzmasse. 60% der Nutzung wurden als Stammholz, 40% als Industrie- und Brennholz bezogen. Ebenfalls 60% der Nutzung bestand aus Laubholz und 40% aus Nadelholz. Am stärksten genutzt wurden die 60- bis 80-jährigen Bestände, in denen bei einem Flächenanteil von einem Viertel 32% der gesamten Holzernte geschlagen wurde. Weitere 41 % des Holzeinschlages wurde den über 80-jährigen Altholzbeständen entnommen.
 
 
 
 

5.2 Vergleich mit Hiebsatz
 
 

Dem vorgegebenen Hiebsatz von 1981 von 11'000 m3/J steht eine Nutzungsmenge von 13'000 m3/J gemäss Inventur 90, bzw. 11'300 m3/J gemäss Nutzungskontrolle gegenüber. Aufgrund der, unter D-5.1 erwähnten, Erklärungen der Differenz zwischen diesen beiden Zahlen, kann von einem jährlichen Überschreiten des Hiebsatzes um durchschnittlich rund 1000m3 ausgegangen werden. Diese Überschreitungen des Hiebsatzes fanden ausschliesslich nach 1986 statt, was aus der Tabelle 'Nutzungskontrolle' (vgl. Anhang) ersichtlich ist. Für die Mehrnutzungen seit 1986 sind im wesentlichen drei Gründe verantwortlich (vgl. dazu auch Kapitel B-3.4 und C-3.1):
 
 

- Als Massnahme gegen die aktuellen Waldschäden, bzw. die Stressituation der Bäume aufgrund von Luftbelastungen und Trockenheit, versuchte man, mittels starker Durchforstungen folgende Ziele zu erreichen:

- Durch eine Minderung der Biomasse sollte der Wasserhaushalt der verbleibenden Bäume verbessert werden.

- Durch das Schaffen einer flächendeckenden Verjüngung sollte eine neue Baumgeneration Ersatz für allenfalls absterbende Bäume bieten.

- Um den Äsungsdruck auf den Wald zu verkleinern wollte man mittels starker Durchforstungen ein höheres Äsungsangebot schaffen.

- Im Zusammenhang mit dem Projekt 'Naturlandschaft Sihlwald' hat man die Überführung von Hochwald in strukturreichere Naturwaldformen mittels starker Durchforstungen eingeleitet. Man wollte möglichst rasch die Lichtverhältnisse verändern um eine rasche sichtbare Veränderung der Waldbestände zu bewirken.

- Die Überführung von alten Beständen ist schwieriger als jene von jüngeren. Deshalb standen die Massnahmen unter einem beachtlichen Zeitdruck.
 
 

Leider lässt sich aus den Zahlen der Stichprobenauswertung nicht ableiten, wieviele m3 für Räumungen, für Durchforstungen oder Lichtung geschlagen wurden. Als einziger halbwegs verlässlicher Hinweis sei der Zahl der geplanten Räumungen - 3'335 m3/Jahr - diejenige der Nutzungen in Blössen/Jungwüchsen/Dickungen - 1'271 m3/Jahr - gegenübergestellt; obwohl der Hiebsetat überschritten wurde, sind nicht einmal die Hälfte der geplanten Räumungen und Verjüngungen ausgeführt worden.
 
 
 
 

5.3 Schlagkarte
 
 

Im Rahmen der Kontrollführung wurden alle, in den Jahren 1982-91 vorgenommenen Holzschläge, auf einer Schlagkarte mit Angabe des Jahres und der Art des Eingriffes eingetragen. Die Schlagkarte der Jahre 1982-91 ist dem Anhang zu diesem Betriebsplan beigefügt.
 
 

6. Bauliche Veränderungen
 
 
 
 

6.1 Erschliessung
 
 

Im Laufe der Berichtsperiode wurden neu angelegt:
 
 

- lastwagenfahrbare Waldwege 1'066 m'

- Maschinenwege 280 m'

- Erlebnispfade ca. 30'000 m'

(teilweise nur instandgestellt)
 
 

Aus nicht ganz vollständigen Unterlagen wurden die Leistungen für den Wegunterhalt wie folgt hochgerechnet:
 
 

- Unterhalt lastwagenfahrbare Waldwege 4'430 m'/Jahr

- Unterhalt Maschinenwege 550 m'/Jahr
 
 

Es wurde damit im Laufe von 9 Jahren auf etwa 80% aller lastwagenfahrbaren Waldwege einmal Unterhalt geleistet.
 
 
 
 

6.2 Bachverbauungen, Entwässerungen
 
 

In der Periode von 1981 bis 1990 wurden erstellt:
 
 

- 2 Holzkästen

- 25 neue Sperren;

- 7 bestehende Sperren wurden erneuert

- 100 m' Gräben ausgehoben und

- verschiedene Grünverbauungen ausgeführt.
 
 
 
 

6.3 Bauten
 
 

Beim Försterhaus im Tobel wurde 1988 ein neuer Werkhof erstellt.
 
 
 
 
 
 

7. Betriebsorganisation und Infrastruktur
 
 
 
 

7.1 Betriebsorganisation
 
 

Der Sihlwald ist eingeteilt in die zwei Forstreviere Sihlwald I und Sihlwald II. Das Revier Sihlwald I umfasst die Abteilungen 1-15 und 36-41 (512,24 ha), das Revier Sihlwald II die Abteilungen 16-35 (534,78 ha). Jedem Revier steht ein Förster vor. Das Revier I verfügt über ein Gerätemagazin und einen Aufenthaltsraum im Binzboden. Das Revier 2 verfügt über einen Werkhof beim Försterhaus Tobel (1988 erstellt).
 
 

Anlässlich eines internen Stellenwechsels des Försters vom Revier I ins Forstrevier Üetliberg wurde 1989 die Zusammenlegung der beiden Reviere zu einem einzigen Revier diskutiert. Auf Wunsch betriebsinterner Stimmen wurde schliesslich darauf verzichtet und die Försterstelle im Revier Sihlwald I neu besetzt.
 
 

Die Förster sind direkt dem Bereichsleiter unterstellt. Seit 1993 ist dies der Dienstchef. Das Budget der Forstreviere wird auf Antrag der Förster durch den Dienstchef festgelegt. Die Förster selbst haben eine Finanzkompetenz von Fr. 5000.-. Seit 1985 wird der Holzverkauf aufgrund von allgemeinen Richtlinien direkt durch die Förster abgewickelt. Das übrige Rechnungswesen sowie alle anderen externen Beziehungen werden über den Dienstchef bzw. den Bereichsleiter abgewickelt.
 
 

Die kurzfristige Arbeitsplanung erfolgt durch die Förster. Für die waldbaulichen Massnahmen, wie das Anzeichnen, sind ebenfalls die Revierförster zuständig. Sie haben sich an die geltenden Richtlinien bzw. an erfolgte Besprechungen zu halten.
 
 
 
 

7.2 Personal
 
 

In den beiden Sihlwaldrevieren wird fast ausschliesslich gelerntes Personal beschäftigt. Die Personalentwicklung von 1981-1991 ist in der nachstehnden Tabelle zusammengestellt. Es haben sich im Vergleich zu 1981 keine nenneswerten Verschiebungen ergeben. Der ständige Personalbestand ist zweifellos als hoch zu bewerten. Die hat den Vorteil, dass ständig genügend Personal verfügbar ist. Andererseits besteht aber ein unausgeglichener Einsatzbedarf, so dass das Personal nicht immer optimal ausgelastet ist.
 
 
 
 

Kategorie

Sihlwald I

Sihlwald II

 

1981

1991

1981

1991

Stadtförster

1

1

1

1

Vorarbeiter

2

1

2

3

Forstwarte

2

3

3

3

Waldarbeiter

-

1

2

1,5

Forstwartlehrling

2

2

-

3

Akkordanten

2 *

1,5

-

1

Forstunternehmer

1.6*

-

2*

-

insgesamt

10.6

9,5

10

12,5

 

 

Tab. D-6: Personalbestand 1981 und 1991

* jährliche Stunden auf Stellen umgerechnet (2184 h = 1 Mannjahr)
 
 
 
 

7.3 Fahrzeuge und Maschinen
 
 

Kategorie

Sihlwald I

Sihlwald II

 

1981

1991

1981

1991

Personalbus

-

1

-

-

Toyota HiLux (Jeep)

-

-

-

1

Landcruiser

1

2

1

1

Forsttraktor

-

-

1

1

Bagger

-

-

-

1

Mobilseilkran

-

-

-

1

Seilwinden

-

-

2

-

Motorsägen

9

21

13

15

Handentrindungsmasch.

-

-

2

2

Klettersäge

-

-

1

-

Walze

1

1

-

-

Waldrapp

-

1

-

-

 

Tab. D-7: Stand der wichtigsten Fahrzeuge und Maschinen 1981 und 1991

8. Finanzielle Ergebnisse

Für die Auswertung des finanziellen Ergebnisse wurden die jährlichen Jahresabschlüsse ausgewertet. Eine detaillierte Zusammenstellung der Jahresabschlüsse ist im Anhang beigelegt. In der folgenden Tabelle D-8 sind die erzielten Jahresdurchschnitte für die Periode 1981-91 zusammengestellt.
 
 

Position

Sihlwald I

Sihlwald II

total

 

Fr.

Fr.

Fr.

Personalkosten

431'063

546'225

977'288

Tendenz*

+130%

+150%

+146%

Sachausgaben

382'838

436'818

819'635

Tendenz*

-47%

-43%

-45%

total Ausgaben

814'187

983'039

1'797'227

Tendenz*

+36%

+76%

+18%

total Einnahmen

559'507

530'178

1'089'687

Tendenz*

-18%

-8%

-16%

Saldo

-254'679

-452'861

-707'541

Tendenz*

-64%

-72%

-69%

Rentabilität**

0.68

0.54

0.61

Tendenz*

-25%

-27%

-26%

 

Tab. D-8: Durchschnittliches Jahresergebnis für die Jahre 1982-91

* Endwert (92) in Prozent des Anfangswertes (89)

** Quotient Einnahmen/Ausgaben
 
 

Trotz Reduktion der Ausgaben - namentlich der Sachkosten - konnte der Zerfall des Waldertrags nicht aufgehalten werden. Auffallend ist die starke Zunahme der Personalkosten. Die Rentabilität ist mittlerweile so schlecht, dass für jeden ausgegebenen Franken nur noch 60 Rappen zurückkommen. Dieser Quotient war aber schon in der Periode 1971-1981 nicht wesentlich besser, wurde doch mit einem Franken lediglich 65 Rappen erwirtschaftet. Während der vergangenen Periode muss der Fehlbetrag aus der ordentlichen Rechnung auf rund Fr. 700.- pro ha und Jahr geschätzt werden!

9. Schadenereignisse und besondere Vorkommnisse

Der Sihlwald blieb im Laufe der letzten 10 Jahre von verheerenden Schäden verschont. Gesamthaft sind in den forstlichen Jahresberichten 5'000 m3 Schadholz durch Sturmeinwirkungen vermerkt. Die wesentlichsten Ereignisse waren

- ein Föhnsturm am 7./8. November 1982, dem 3'500 m3 zum Opfer fielen

- ein Gewittersturm im August 1985, der 600 m3 zu Boden brachte und

- ein Sturm im April 1986 mit weiteren 500 m3 geworfenem Holz.
 
 

Weitere Kleinereignisse sind in der Grössenordnung von weniger als 100 m3 je Vegetationsperiode und gehören damit in den Rahmen des forstlichen Alltags.